• Предмет: Математика
  • Автор: CupirFinter
  • Вопрос задан 3 года назад

Срочно решите дам все свои баллы!!!​

Приложения:

CupirFinter: С РЕШЕНИЕМ!!!

Ответы

Ответ дал: Аноним
0

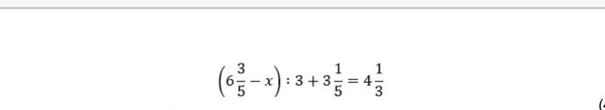
Ответ:

(6 3/5 -х)÷3+3 1/5=4 1/3

(33/5-х)×1/3+16/5=13/3

33-5х/5×1/3+16/5=13/3

33-5х/15+16/5=13/3

33-5х+48=65

81-5х=65

-5х=65-81

-5х=-16

х=16/5 или 3 1/5 или 3,2

Вас заинтересует