• Предмет: Математика
  • Автор: olyabelskaya14
  • Вопрос задан 3 года назад

помогите пожалуйста, у меня см:((​

Приложения:

Ответы

Ответ дал: Miroslava227
2

Ответ:

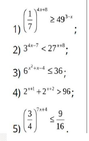
1) {7}^{ - (4x + 8)}  \geqslant  {7}^{2(3 - x)}  \\  - 4x - 8 \geqslant 6 - 2x \\  - 2x \geqslant 14 \\ x \leqslant  - 7

2) {3}^{4x - 7}  <  {3}^{3(x + 8)}  \\ 4x - 7 < 3x + 24 \\ x < 31

3) {6}^{ {x}^{2} + x - 4 }  \leqslant  {6}^{2}  \\  {x}^{2}  + x - 4 \leqslant 2 \\  {x}^{2}  + x - 6 \leqslant 0 \\ d = 1 + 24 = 25 \\ x 1 =  \frac{ - 1 + 5}{2}  = 2 \\ x2 =  - 3 \\ (x - 2)(x + 3) \leqslant 0

х принадлежит [-3;2].

4) {2}^{x + 1}  +  {2}^{x + 2}  > 96 \\  {2}^{x + 1} (1 + 2) > 96 \\  {2}^{x + 1}  > 32 \\  {2}^{x + 1}  >  {2}^{5}  \\ x + 1 > 5 \\ x > 4

5) {( \frac{3}{4} )}^{7x + 4}  \leqslant  {( \frac{3}{4}) }^{2}

основание < 1, знак меняется

7x + 4 \geqslant 2 \\ 7x \geqslant  - 2 \\ x \geqslant  -  \frac{2}{7}


olyabelskaya14: спасибо большое
perviychelovek35: здравствуйте вы не могли бы мне помочь с геометрией пожалуйста умоляю
Вас заинтересует