• Предмет: Математика
  • Автор: DaniilUre
  • Вопрос задан 3 года назад

Обчислити інтеграли методом безпосереднього інтегрування:

Приложения:

Ответы

Ответ дал: Miroslava227
2

Ответ:

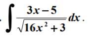
1)\int\limits \frac{3x - 5}{ \sqrt{6 {x}^{2} + 3 } } dx = \int\limits \frac{3xdx}{ \sqrt{16 {x}^{2}  + 5} }  - \int\limits \frac{5dx}{ \sqrt{16 {x}^{2} + 5 } }  =  \\  =  \frac{3}{32} \int\limits \frac{32xdx}{ \sqrt{16 {x}^{2} + 5 } }  - 5\int\limits \frac{dx}{ \sqrt{ {(4x)}^{2} +  {( \sqrt{5}) }^{2}  } }  =  \\  =  \frac{3}{32} \int\limits \frac{d(16 {x}^{2}  + 5)}{ {(16 {x}^{2} + 5) }^{ \frac{1}{2} } }  -  \frac{5}{4} \int\limits \frac{d(4x)}{ \sqrt{ {(4x)}^{2}  +  {( \sqrt{5}) }^{2} } }  =  \\  =  \frac{3}{32}  \frac{ {(16 {x}^{2} + 5) }^{ \frac{1}{2} } }{ \frac{1}{2} } -  \frac{5}{4}   \times  \frac{1}{ \sqrt{5} } arctg( \frac{4x}{ \sqrt{5} } ) + C =  \\  =  \frac{3}{16}  \sqrt{16 {x}^{2}  + 5}  -  \frac{ \sqrt{5} }{4} arctg( \frac{4x}{ \sqrt{5} } ) + C

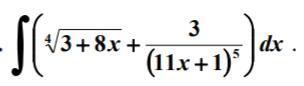
2)\int\limits( \sqrt[4]{3 + 8x}  +  \frac{3}{ {(11x + 1)}^{5} } )dx =  \\  =  \frac{1}{8} \int\limits {(3 + 8x)}^{ \frac{1}{4} } d(3x + 8) +  \frac{3}{11} \int\limits \frac{d(11x + 1)}{ {(11x + 1)}^{5} }  =  \\  =  \frac{1}{8}  \times  \frac{ {(3 + 8x)}^{ \frac{5}{4} } }{ \frac{5}{4} }  +  \frac{3}{11}  \times  \frac{ {(11x + 1)}^{ - 4} }{( - 4)}  + C =  \\  =  \frac{1}{10}  \sqrt[4]{ {(8x + 3)}^{5} }  -  \frac{3}{44 {(11x + 1)}^{4} }  + C

Вас заинтересует