• Предмет: Математика
  • Автор: powergamergt
  • Вопрос задан 3 года назад

Матиматика тригонометрические уравнения.
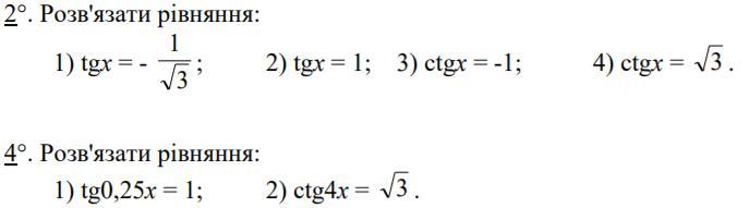
№ 3; 5(рівняння sin x = a, cos x = a), №2; 4(рівняння tg x = a; ctg x = a)

Приложения:

Ответы

Ответ дал: Miroslava227
0

Ответ:

решение на фотографиях

Приложения:
Вас заинтересует