Ответы
Ответ дал:
0
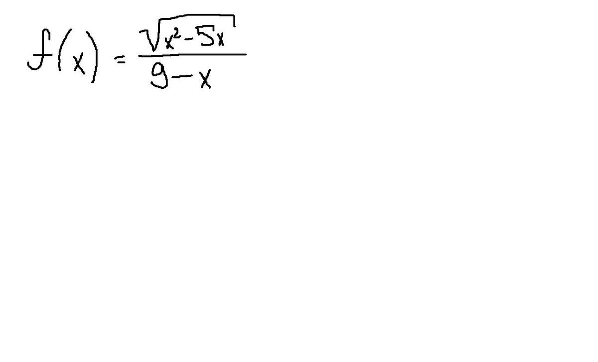
x^2 - 5x >= 0
x(x-5)>=0
x(x-5)=0
x1 = 0 x2 = 5
x <= 0, x>=5
помимо это, 9 - x не рано 0, то есть x не равен 9
Ответ: x ∈ (-бесконечность, 0]∨[5,9)∨(9;+бесконечность)
x(x-5)>=0
x(x-5)=0
x1 = 0 x2 = 5
x <= 0, x>=5
помимо это, 9 - x не рано 0, то есть x не равен 9
Ответ: x ∈ (-бесконечность, 0]∨[5,9)∨(9;+бесконечность)
Ответ дал:
0
1. Верхнее выражение должно быть больше либо равно 0, нижнее выражение не должно быть равно 0. Считаем:
1.x^2-5x=>0
x(x-5)=0
x=0
x=5
2.9-x не равно 0
x не равно 9
Но поскольку у нас включается верхнее значение, то D=(-бесконечн.;9) объед. (9;+беск.)
1.x^2-5x=>0
x(x-5)=0
x=0
x=5
2.9-x не равно 0
x не равно 9
Но поскольку у нас включается верхнее значение, то D=(-бесконечн.;9) объед. (9;+беск.)
Вас заинтересует
3 года назад
8 лет назад
8 лет назад
11 лет назад
11 лет назад