• Предмет: Математика
  • Автор: vkobrinsky
  • Вопрос задан 3 года назад

ПОМОГИТЕ СРОЧНО ПОЖАЛУЙСТА ДАЮ 20 БАЛЛОВ​

Приложения:

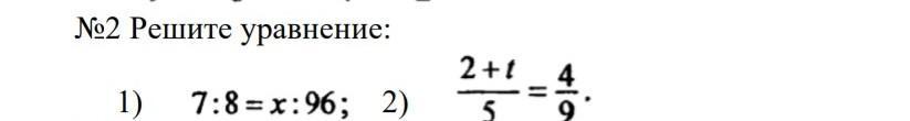
oxalotlmaster: 7:8=x:96

Ответы

Ответ дал: sofiia16042006
0

1)

7/8=х/96

7/1=х/12

х=7*12

х=84

2) 9*(2+t)=4*5

18+9t=20

9t=2

t=2/9

Вас заинтересует