• Предмет: Алгебра
  • Автор: polinaaa999
  • Вопрос задан 3 года назад

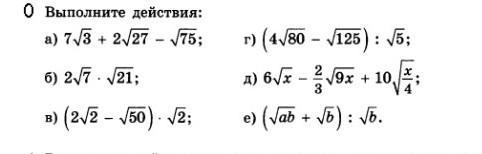
ПОМОГИТЕ ПОЖАЛУЙСТА!!!!​

Приложения:

Ответы

Ответ дал: kairatkhanbakzhanar
1

Объяснение:

Вот и все! Не сложна, проста надо понять

Приложения:

polinaaa999: Спасибо огромное!!
kairatkhanbakzhanar: Не за что!
Вас заинтересует