СРОЧНО 38 БАЛЛОВ!
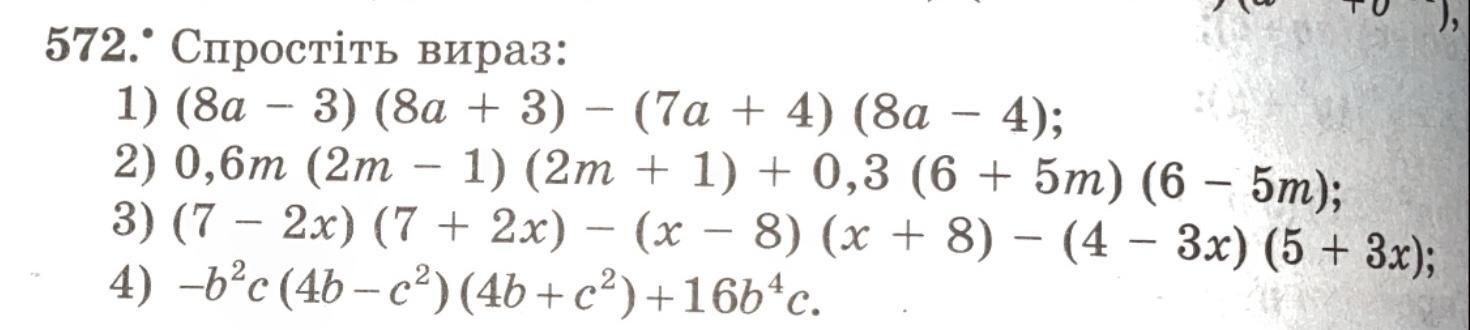
Спростiть вираз:
Приложения:

dodovyvna:
не просто ответы, а решение, пожалуйста
Ответы
Ответ дал:
1
Ответ:
смотри фото
Объяснение:
смотри на фото, надеюсь, что решила правильно
Приложения:

Вас заинтересует
2 года назад
2 года назад
2 года назад
7 лет назад
9 лет назад