Ответы
Ответ дал:
0
прости, из всей к/р решила лишь четвёртое задание, вот:
Приложения:

vvvilezare:
ладно, так уж и быть. Но все равно спасибо!)
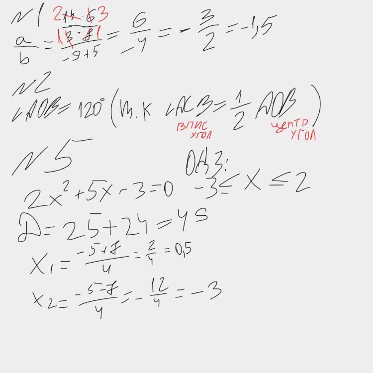
Ответ дал:
1
надеюсь понятно, мой почерк корявый, так что сорянчик)
Приложения:

Вас заинтересует
2 года назад
2 года назад
2 года назад
7 лет назад
9 лет назад