• Предмет: Алгебра
  • Автор: Djfncjgnfj
  • Вопрос задан 3 года назад

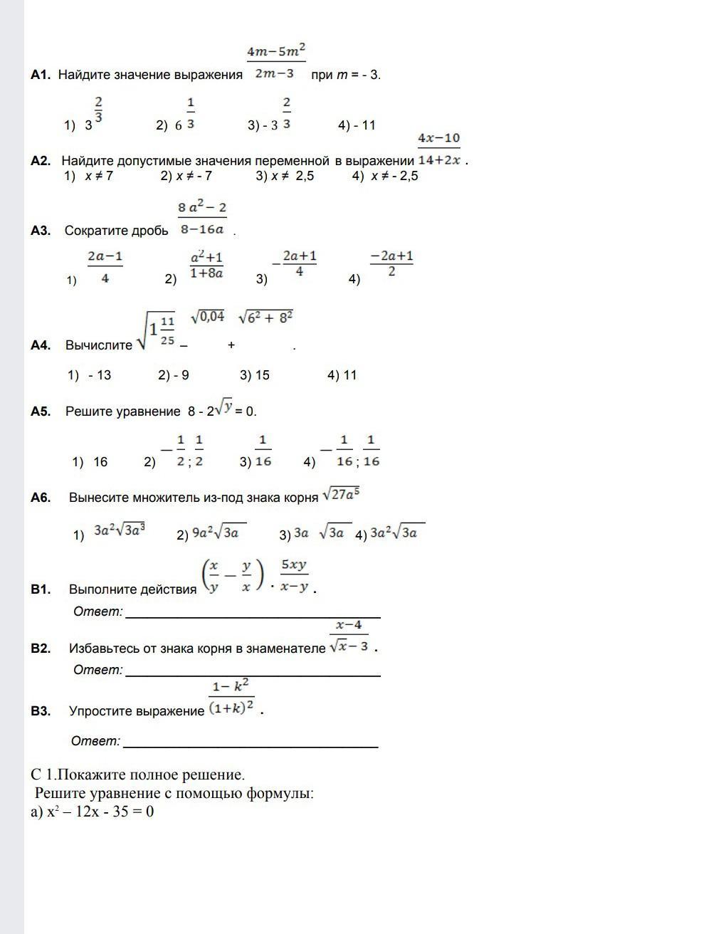
СРОЧНО ТЕСТ ПОЖАЛУЙСТА РЕШИТЕ. ТОЛЬКО ОТВЕТЫ.​

Приложения:

Ответы

Ответ дал: dmitriykud9090
0

Ответ: 1) 3 2) 1 3) 4 5) 2 6) 3

Объяснение:

Вас заинтересует