• Предмет: Алгебра
  • Автор: Аноним
  • Вопрос задан 3 года назад

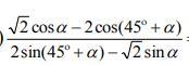
доказать тождество......................................

Приложения:

Ответы

Ответ дал: duisebaiaruzhan07
1

Ответ:

 \frac{ \sqrt{2 \cos(a) -  \sqrt{2 \cos(a) +  \sqrt{2 \cos(a)  +  \sqrt{2 \sin(a) } }  }  } }{4 \sin(( \frac{\pi}{4}  + a {}^{2} )  - 2 \sin(a) }

вот можно лучший ответ

Вас заинтересует