• Предмет: Алгебра
  • Автор: elinahachatryan2019
  • Вопрос задан 3 года назад

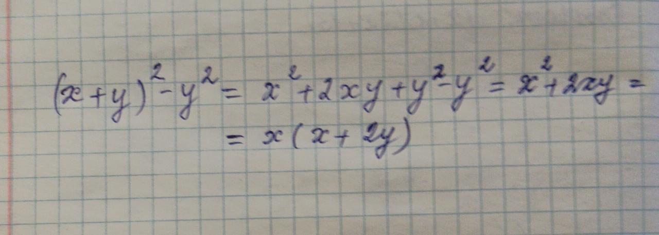
(x+y)²-y²
ааа помогитеее

Ответы

Ответ дал: cpep
1

Ответ:

см ниже

Объяснение:

Приложения:
Вас заинтересует