• Предмет: Алгебра
  • Автор: nargizamodijanova
  • Вопрос задан 3 года назад

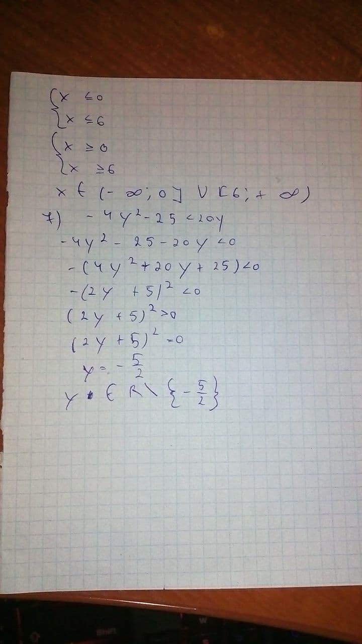
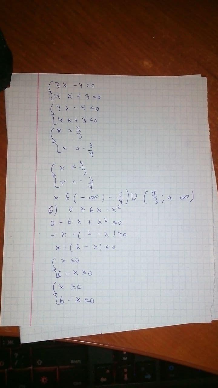
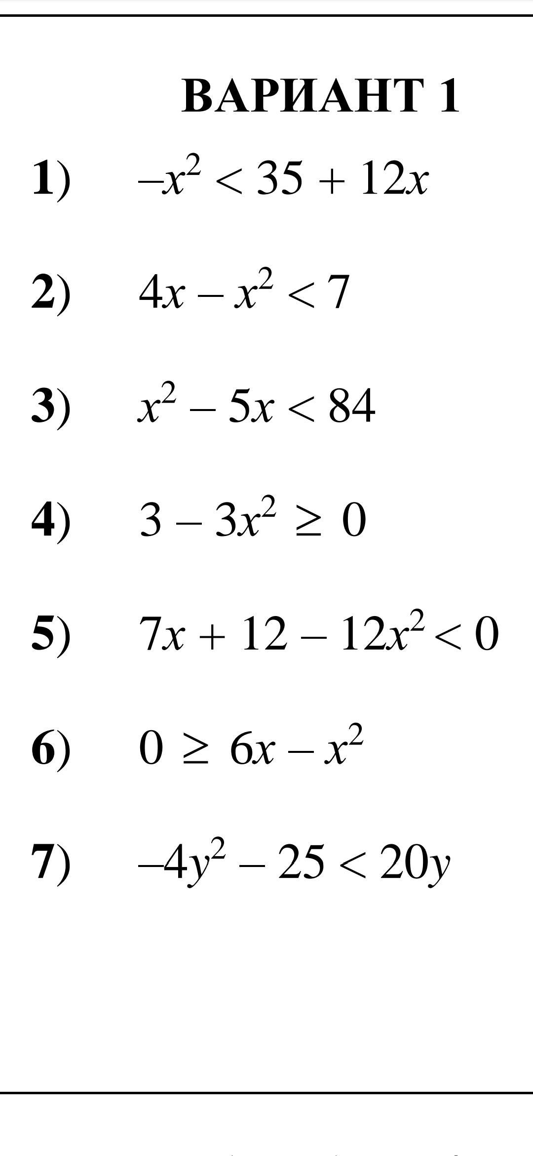
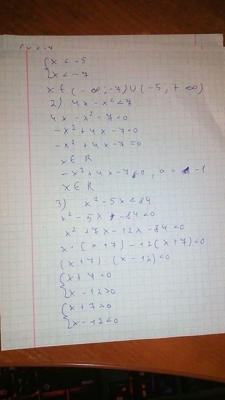
Решить неравенства
Даю 20б

Приложения:

Ответы

Ответ дал: Miа16
1

Ответ: Фото.

Объяснение:

Приложения:

nargizamodijanova: Огромное спасибо
Вас заинтересует