• Предмет: Алгебра
  • Автор: molli1841
  • Вопрос задан 3 года назад


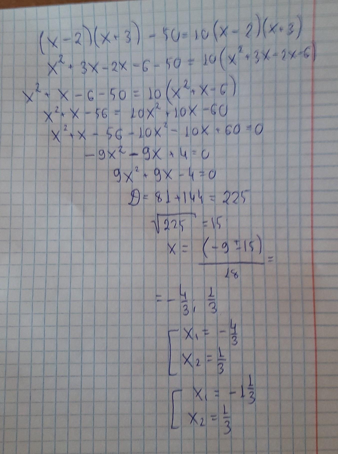
Срочно.Решите уравнение:
(x-2)(x+3)-50=10(x-2)(x+3)

Ответы

Ответ дал: london5257
1
Ответ на уравнение !! Лови
Приложения:
Ответ дал: vityamath
1

Решение на фотографии

Приложения:

molli1841: Спасибо
Вас заинтересует