Ответы
Ответ дал:
1
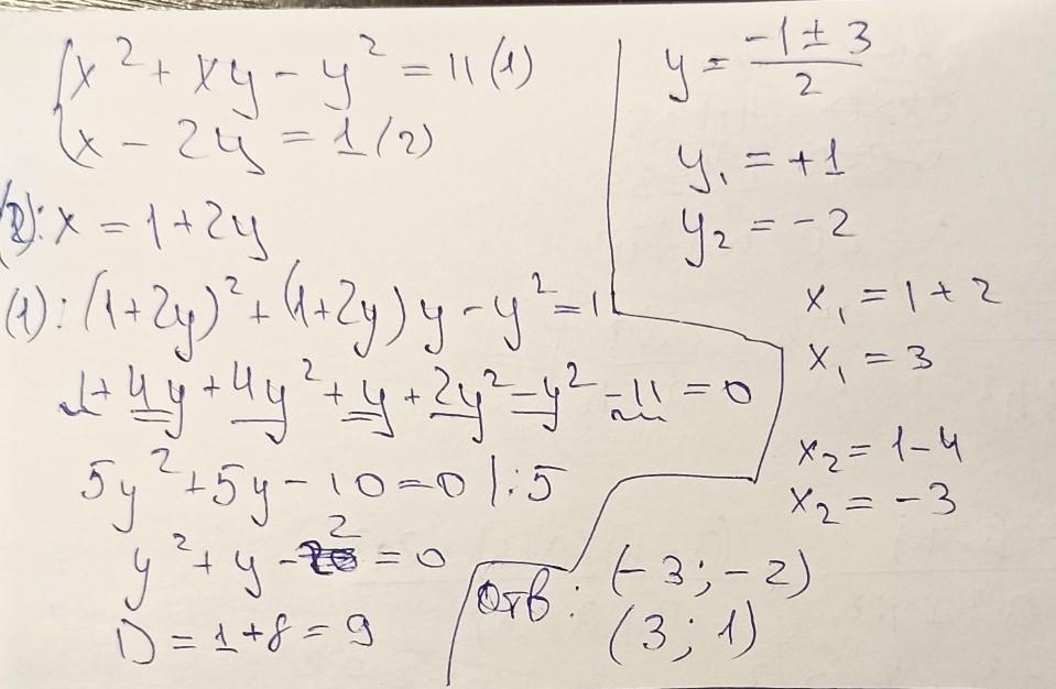
Ответ:
x=3
y=1
или
x=-3
y=-2
по фотографии должно быть всё понятно
Приложения:

yannanahaeva09:
спасибо большое
Вас заинтересует
2 года назад
2 года назад
2 года назад
7 лет назад
7 лет назад
9 лет назад