• Предмет: Алгебра
  • Автор: QBertip
  • Вопрос задан 3 года назад

Ребяяяяят! Даю 100б! Сократите дробь пожалуйста... И ответ дайте в такой форме как в низу прикрепленного фото написано)​

Приложения:

Ответы

Ответ дал: serovaksusa1
1

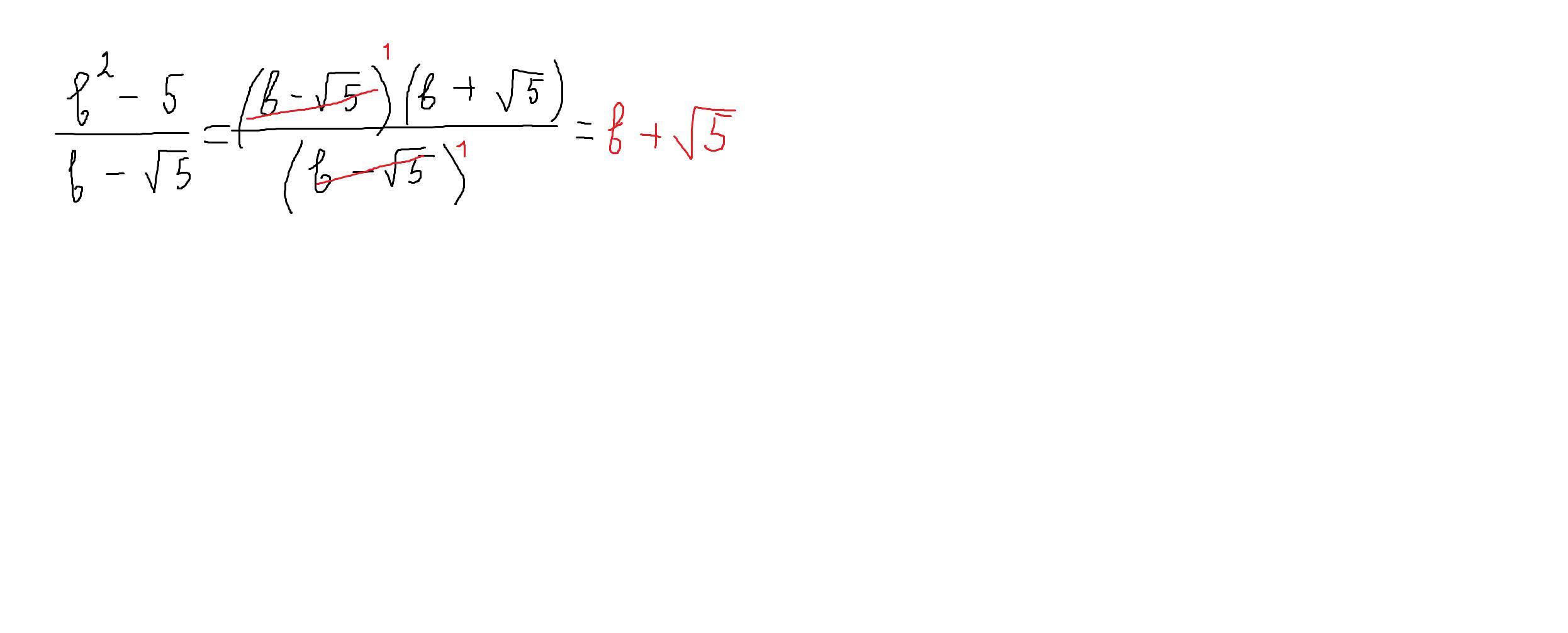
Ответ:

Смотри решение на фото

Приложения:

QBertip: ваууу
QBertip: спасибо
serovaksusa1: Посмотрите ответ подошёл или нет, и скажите мне
QBertip: я понял теперь как это делать
serovaksusa1: Все нормально?
QBertip: да
QBertip: подошел
QBertip: спасибо
serovaksusa1: хорошо!
Ответ дал: parus77
1

Ответ:

Объяснение:

решение внизу

Приложения:

QBertip: спасибо!!!
Вас заинтересует