Ответы
Ответ дал:
0
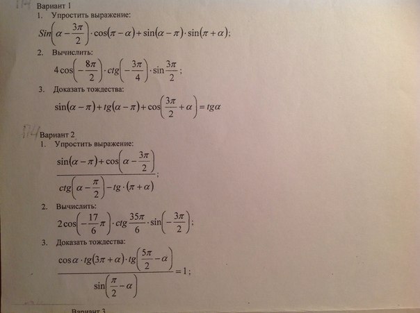
1. cos(pi-a)+sin(a-pi)*sin(pi+a)=cosa*(-)cosa-sina*(-sina)=-cos^2(a)+sin^2(a)
2. 4cos(-8pi/2)*ctg(-3pi/4)*sin(3pi/2)=4*1*(-1)=-4
3. sin(a-pi)+tg(a-pi)+cos(3pi/2+a)=tga
-sina+tga+sina=tga
tga=tga
4. (sin(a-pi)+cos(a-3pi/2))/(ctg(a-pi/2)-tg(pi-a))=(-2sina)/(-2tga)=cosa
5. 2cos((-17/6)pi)*ctg((35pi)/6))*sin(-3pi/2)=(-корень(3))*(-корень(3))*1=3
6. (cosa*tg(3pi+a)*tg(5pi/2-a)/(sin(pi/2-a))=1 ;cosa*tga*ctga)/cosa)=1
cosa*1/cosa=1
cosa/cosa=1
1=1
2. 4cos(-8pi/2)*ctg(-3pi/4)*sin(3pi/2)=4*1*(-1)=-4
3. sin(a-pi)+tg(a-pi)+cos(3pi/2+a)=tga
-sina+tga+sina=tga
tga=tga
4. (sin(a-pi)+cos(a-3pi/2))/(ctg(a-pi/2)-tg(pi-a))=(-2sina)/(-2tga)=cosa
5. 2cos((-17/6)pi)*ctg((35pi)/6))*sin(-3pi/2)=(-корень(3))*(-корень(3))*1=3
6. (cosa*tg(3pi+a)*tg(5pi/2-a)/(sin(pi/2-a))=1 ;cosa*tga*ctga)/cosa)=1
cosa*1/cosa=1
cosa/cosa=1
1=1
Вас заинтересует
3 года назад
3 года назад
8 лет назад
8 лет назад
11 лет назад
11 лет назад