• Предмет: Математика
  • Автор: sumsnary
  • Вопрос задан 3 года назад

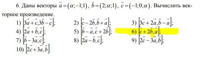
Помогите решить пожайлуста !!

Приложения:

cookie1313: по-моему это не 1-4 класс xD

Ответы

Ответ дал: arinazaharova2006
0
А надо решить все? Или что выделено?
Вас заинтересует