• Предмет: Алгебра
  • Автор: raskuchevat
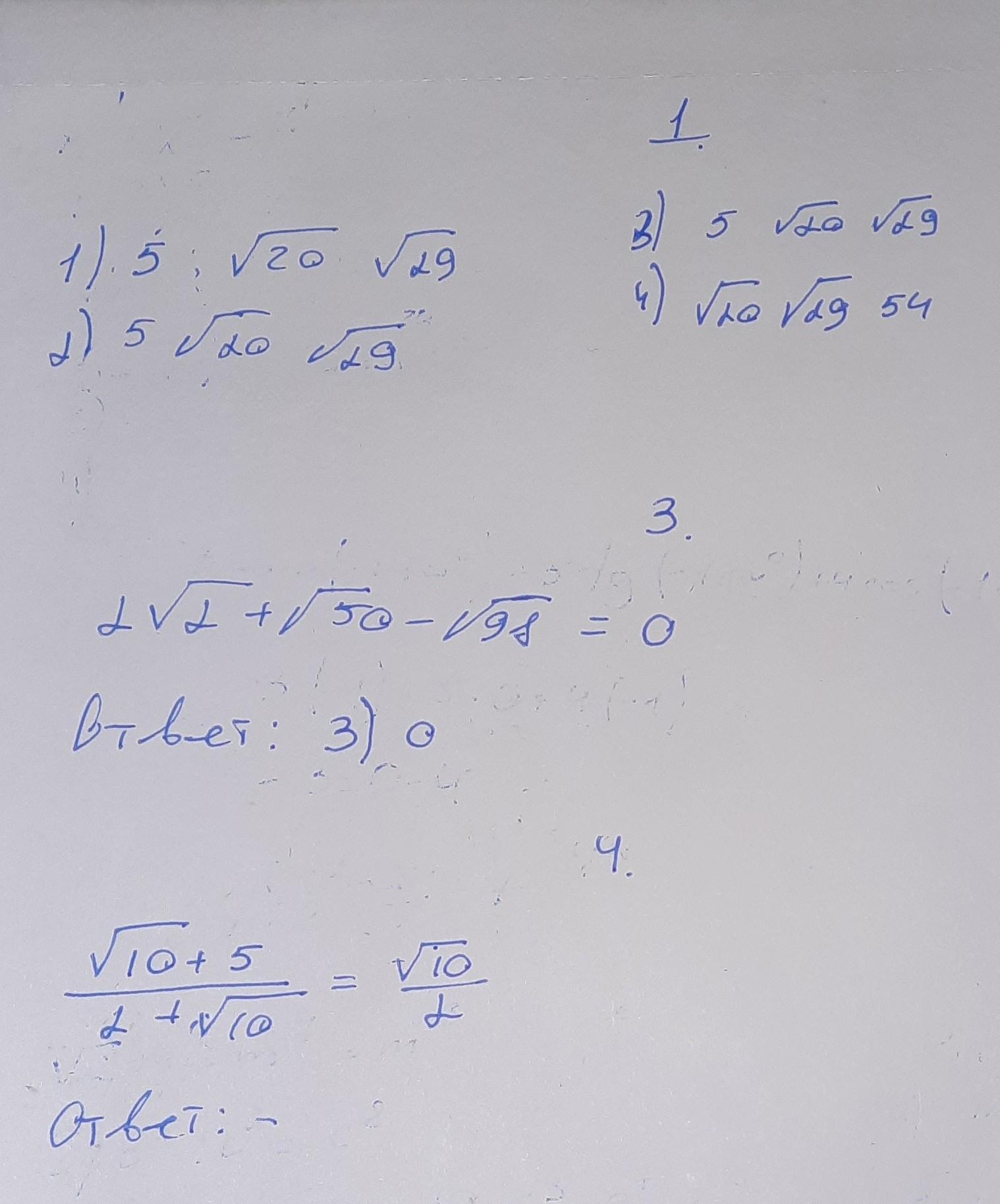
  • Вопрос задан 3 года назад

помогите пожалуйста!!!!!!

Приложения:

Ответы

Ответ дал: flex126
1

Ответ: вот

Объяснение:

Извини что так мало решила

Приложения:

raskuchevat: спасибо
raskuchevat: то что мало это ничего просто мне срочно к контрольной готовится надо
flex126: удачи тебе)) (ж҈и҈в҈и҈)
Вас заинтересует