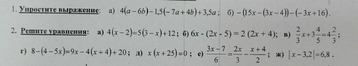
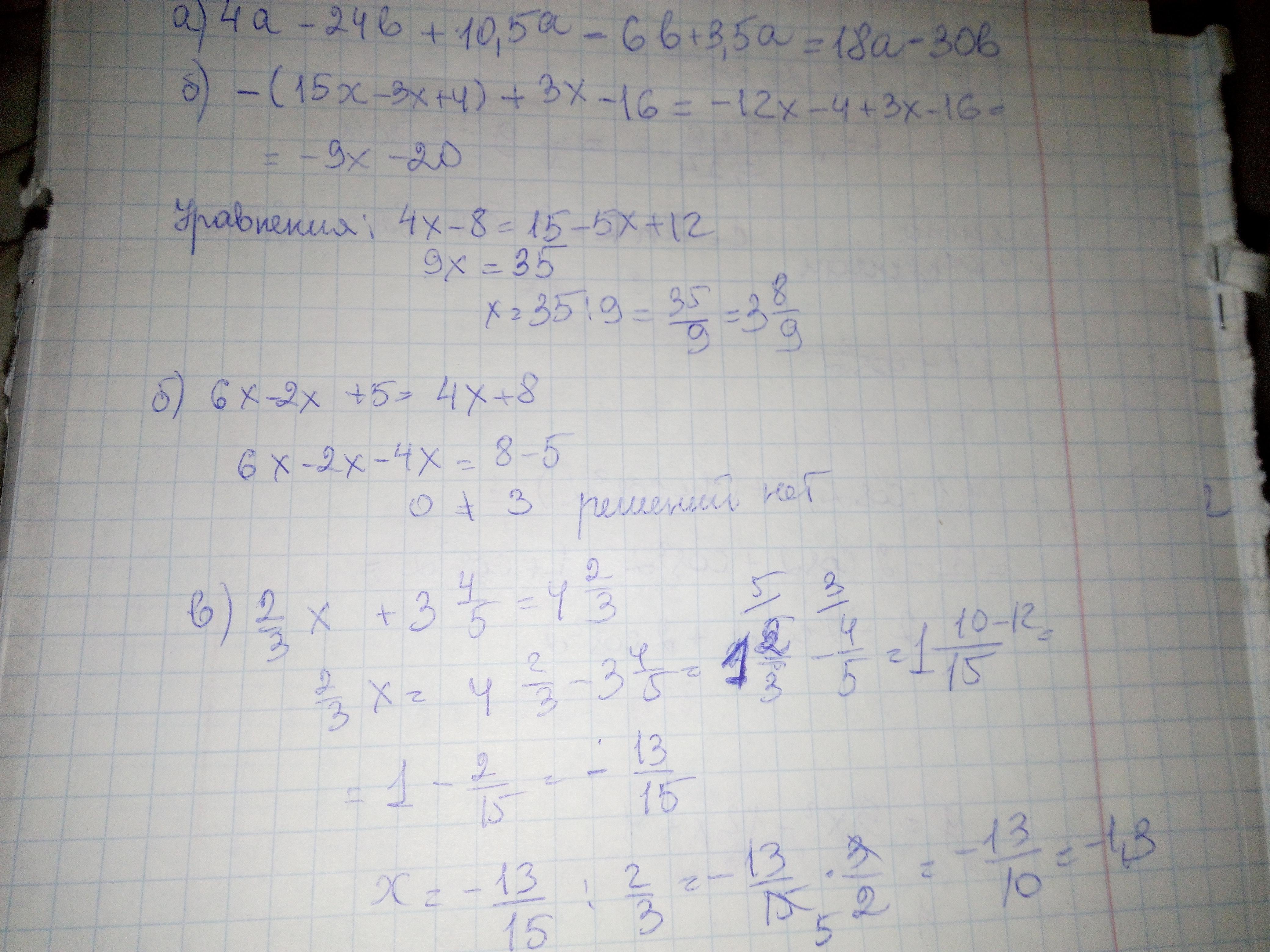
нажмите на карточку чтобы открыть полностью, решите эти 2 номера, даю все свои балы. Чей ответ будет первым и в тему, тогда сделаю лучшим
Приложения:
                     
                            Ответы
                                            Ответ дал: 
                                                                                    
                                        
                                            
                                                
                                                
                                                
                                                    0
                                                
                                            
                                        
                                    Ответ:
Пошаговое объяснение:
Ь
Приложения:
                     
                             
                             
                            Вас заинтересует
                
                        2 года назад
                    
                
                        2 года назад
                    
                
                        2 года назад
                    
                
                        2 года назад
                    
                
                        9 лет назад
                    
                
                        9 лет назад