• Предмет: Математика
  • Автор: svetastefurak
  • Вопрос задан 3 года назад

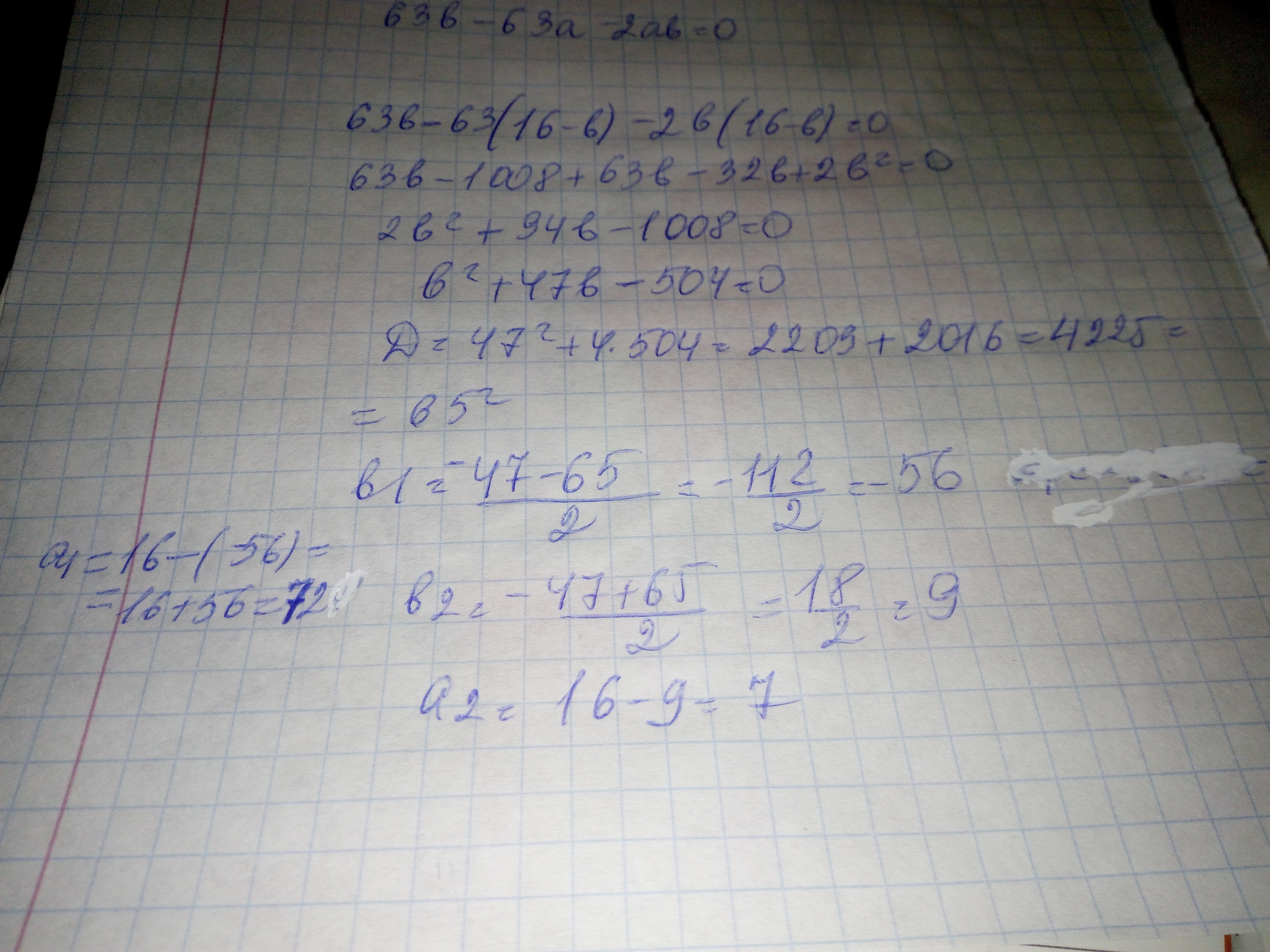
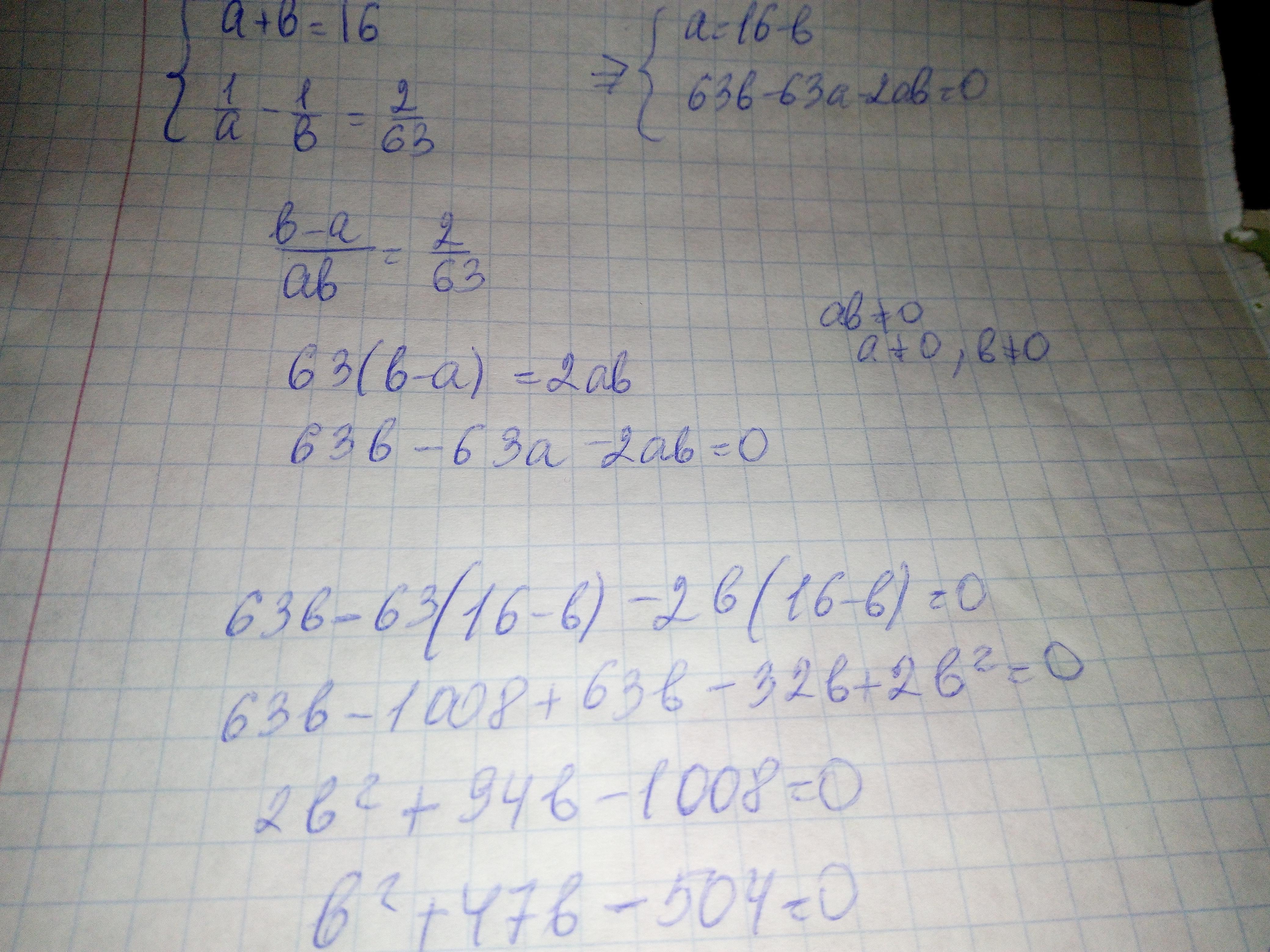
Сума двох натуральних чисел 16, а різниця обернених до них 2/63. Знайти ці числа .

Ответы

Ответ дал: PinkesRose
0

Ответ:-56и72; 9и7

Пошаговое объяснение:

Приложения:
Вас заинтересует