• Предмет: Алгебра
  • Автор: schwalzerinj
  • Вопрос задан 3 года назад

ВЫЧИСЛИТЕ ПРОИЗВОДНЫЕ ПОЖАЛУЙСТА С ПОДРОБНЫМ РЕШЕНИЕМ НА БУМАГЕ!!!!

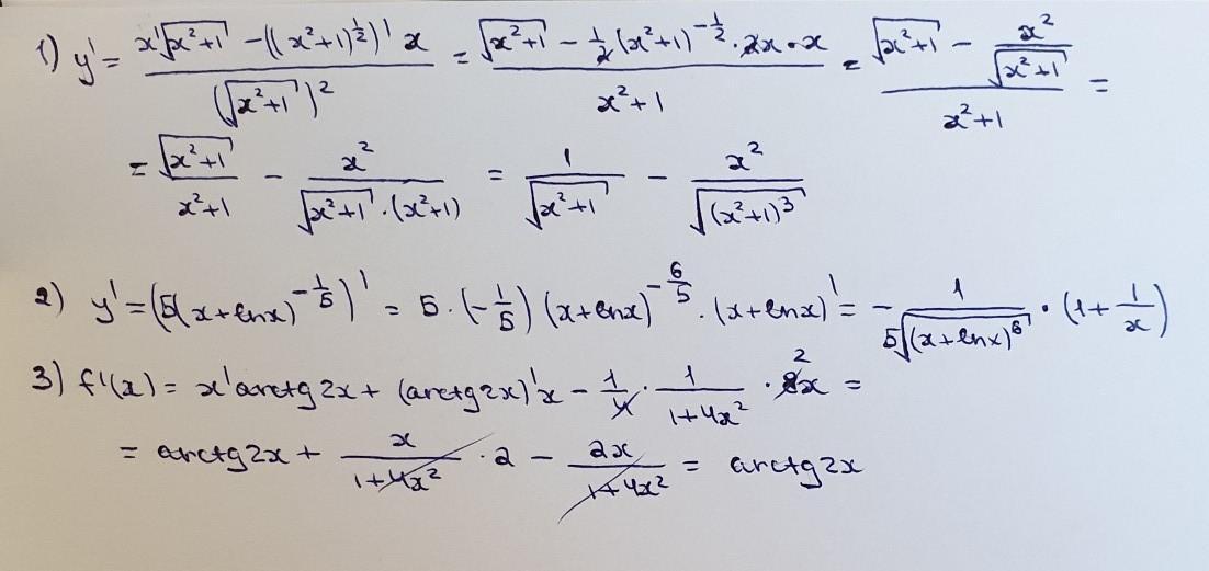
1) y=\frac{x}{\sqrt{x^{2} +1}}

2)y = \frac{5}{\sqrt[5]{x+lnx} }

3)f(x) = xarctg2x - \frac{1}{4} ln(1+4x^{2} )

Ответы

Ответ дал: Miroslava227
1

Ответ:

решение на фотографии

Приложения:

schwalzerinj: спасибо огромное!!!!!
schwalzerinj: а можете еще, пожалуйста, вычислить третье в точке -(√3/2)?
Вас заинтересует