Отдаю все 25 баллов, столько у меня осталось, СРОЧНО!!!!!!!!!!!!!!!!!!!!!!!!!!!!!!!!!!!!!!!!!!!!!!!!!!!
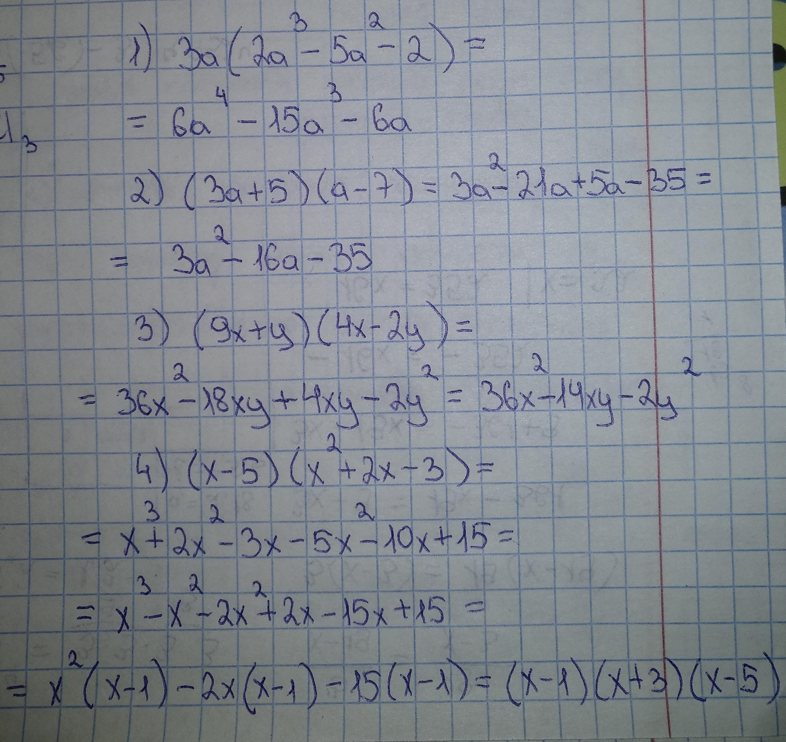
1. Представьте в виде многочлена выражение:
1) 3a(2a³ - 5a²- 2); 3) (9x+y)(4x –2y);
2) (3a+5)(a-7); 4) (x - 5)(x² + 2x – 3).
Ответы
Ответ дал:
0
3a(2a^3-5a^2-2)=6a^4-15a^3-6a
(3a+5)(a-7)=3a^2-21a+5a-35=3a^2-16a-35
(9x+y)(4x-2y)
(3a+5)(a-7)=3a^2-21a+5a-35=3a^2-16a-35
(9x+y)(4x-2y)
Ответ дал:
0
Привет. Ответ на фото
Удачи)
Приложения:

Вас заинтересует
2 года назад
2 года назад
2 года назад
7 лет назад
7 лет назад
9 лет назад