• Предмет: Алгебра
  • Автор: Аноним
  • Вопрос задан 3 года назад

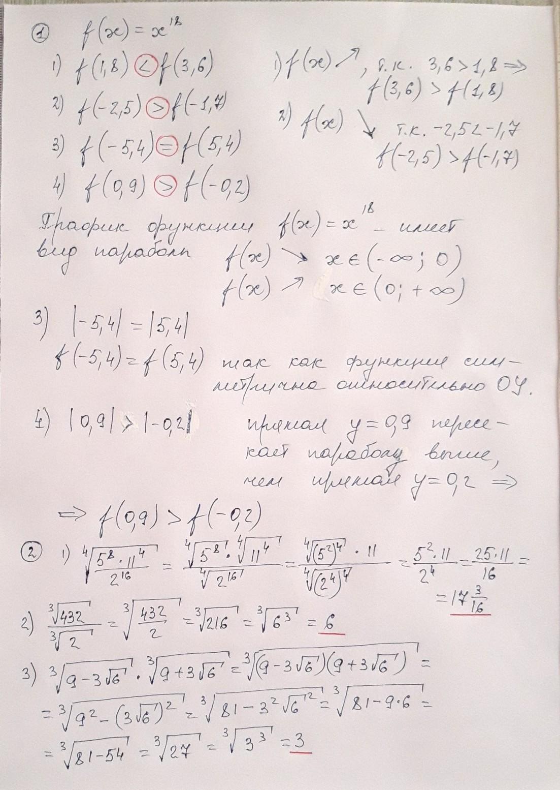
помогите пожалуйста первых два задания​

Приложения:

Ответы

Ответ дал: sharofat0
1

Ответ:

Показательная функция......

Приложения:

Аноним: помогите восьмое решить пожалуйста
Аноним: у меня самое последнее задание вопросах
Аноним: прошу пожалуйста срочно
Вас заинтересует