• Предмет: Алгебра
  • Автор: demon191511
  • Вопрос задан 3 года назад

Неполное дифференциальное уравнение второго порядка (1 Задание)

Приложения:

Ответы

Ответ дал: Miroslava227
1

Объяснение:

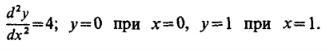
y'' = 4 \\ y' = \int\limits4dx = 4x + C1

y = \int\limits(4x + c1)dx =  \frac{4 {x}^{2} }{2}  + C1x + C2 =  \\  = 2 {x}^{2}  + C1x + C2

общее решение

y(0) = 0,y'(1) = 1

0 = C2 \\ 1 = 4 + C1 \\  \\ C2 = 0 \\ C1 =  - 3

y = 2 {x}^{2}  - 3x

частное решение

Вас заинтересует