• Предмет: Алгебра
  • Автор: StarokozeEvaevgenia5
  • Вопрос задан 3 года назад

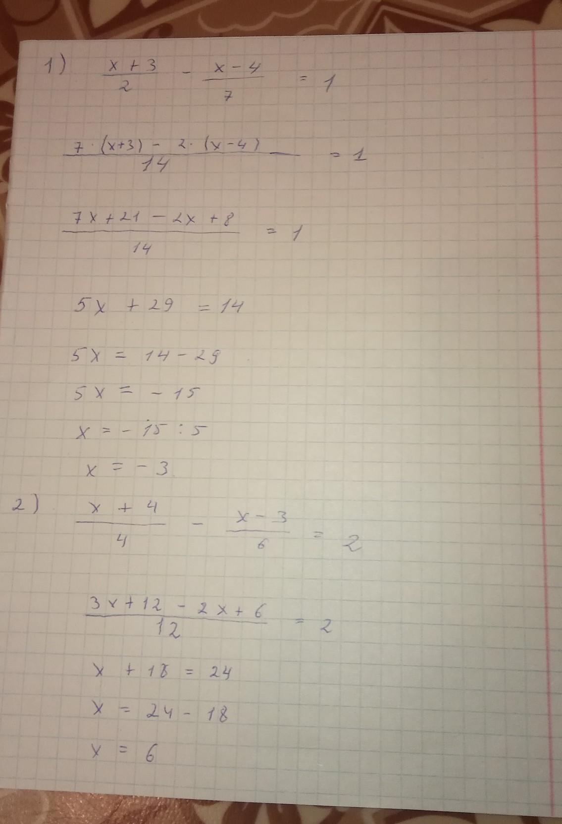
Как решить ?
Помогите пожалуйста

Приложения:

Ответы

Ответ дал: nastyapervyshina05
1

отметь пожалуйста лучшим

Приложения:

20090210: помоги с вопросом плизз
20090210: самый новый
20090210: по матиматика
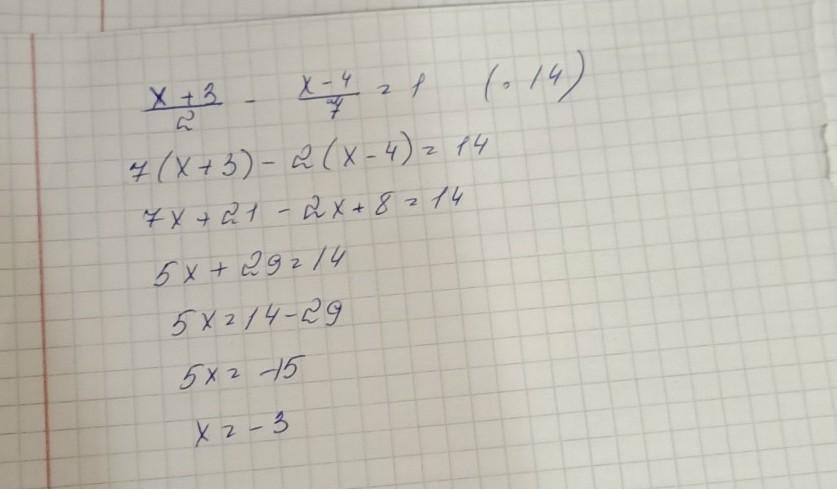
Ответ дал: mkupri420
1

ответ в прикрепленной фотографии

Приложения:
Вас заинтересует