Ответы
                                            Ответ дал: 
                                                                                    
                                        
                                            
                                                
                                                
                                                
                                                    0
                                                
                                            
                                        
                                    Ответ:
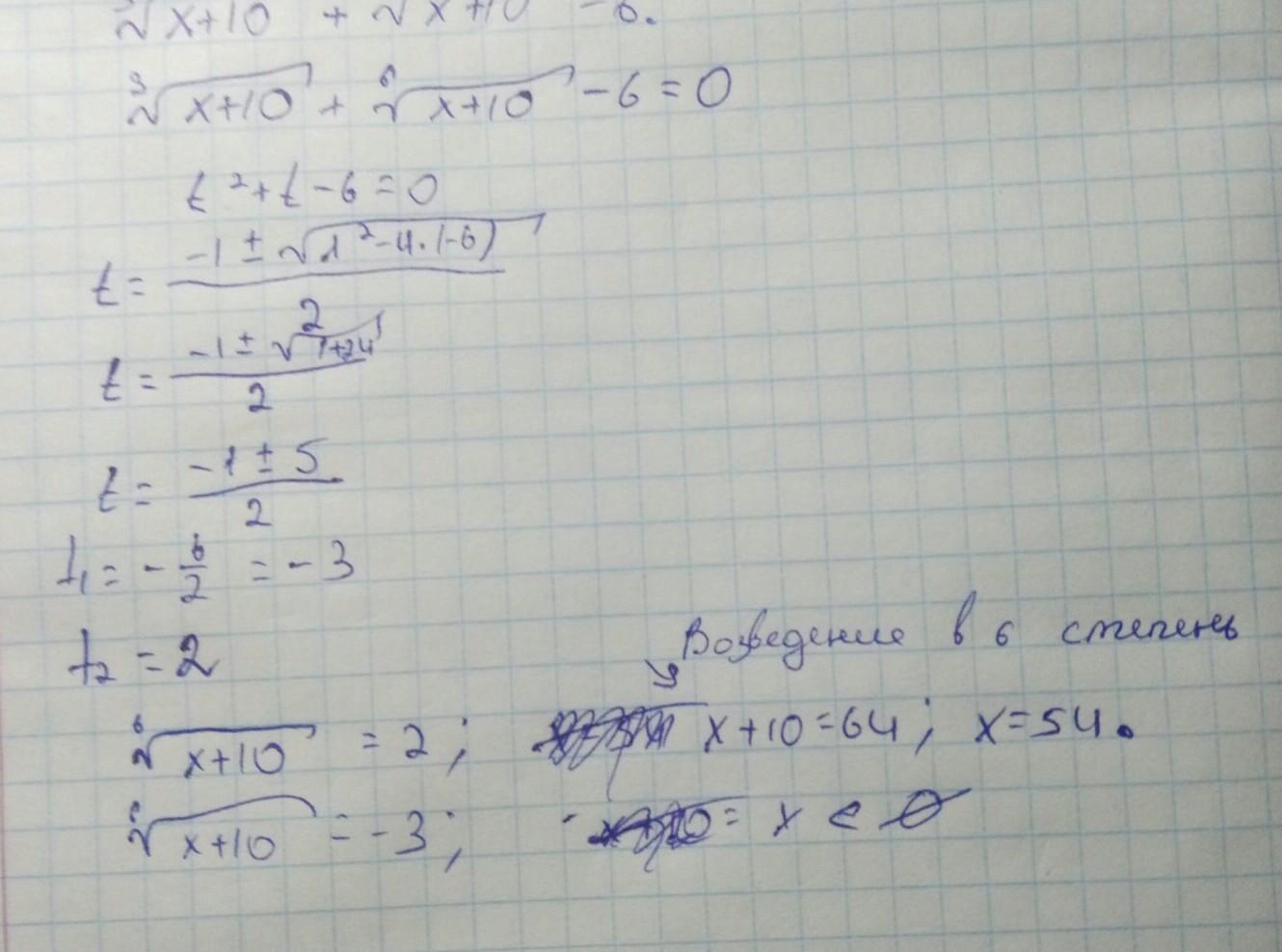
с t это если что замена, а далее решение через дискриминант.
потом
утверждение ложно, т.к. функция корня с чётным показателем больше равна 0
Приложения:
                     
                            Вас заинтересует
                
                        2 года назад
                    
                
                        2 года назад
                    
                
                        2 года назад
                    
                
                        7 лет назад
                    
                
                        7 лет назад
                    
                
                        9 лет назад
                    
                