• Предмет: Алгебра
  • Автор: irus6668
  • Вопрос задан 3 года назад

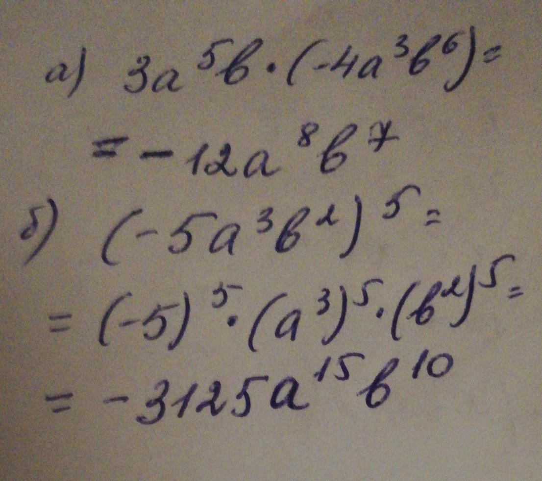
1. Упростите выраженре:
a) 3a⁵b×(-4a³×b⁶).
b) (-5a³b²)⁵.

Ответы

Ответ дал: serovaksusa1
1

Ответ:

Смотри решение на фото

Приложения:
Вас заинтересует