• Предмет: Алгебра
  • Автор: eleonaise
  • Вопрос задан 3 года назад

Решить
...........................

Приложения:

Ответы

Ответ дал: NNNLLL54
2

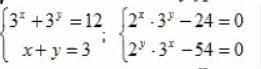
1)\ \ \left\{\begin{array}{l}3^{x}+3^{y}=12\\x+y=3\end{array}\right\ \ \left\{\begin{array}{l}3^{x}+3^{3-x}=12\\y=3-x\end{array}\right\ \ \left\{\begin{array}{l}3^{x}+\dfrac{3}{3^{x}}-12=0\\y=3-x\end{array}\right\\\\\\ \left\{\begin{array}{l}(3^{x})^2-12\cdot 3^{x}+3=0\ ,\ 3^{x}>0\\y=3-x\end{array}\right\ \  \left\{\begin{array}{l}t^2-12t+3=0\ ,\ t>0\\y=3-x\end{array}\right

t^2-12t+3=0\ \ ,\ \ D/4=36-3=33\ \ ,\ \ t_1=6-\sqrt{33}\ ,\ t_2=6+\sqrt{33}\\\\3^{x}=6-\sqrt{33}\ \ ,\ \  x_1=log_{3}(6-\sqrt{33})\\\\3^{x}=6+\sqrt{33}\ \ ,\ \ x_2=log_3(6+\sqrt{33})\\\\y_1=3-log_2(6-\sqrt{33})\ \ ,\ \ y_2=3-log_3(6+\sqrt{33})\\\\Otvet:\ (\ log_3(6-\sqrt{33})\ ;\ 3-log_3(6-\sqrt{33})\, )\ ;\ (\ log_3(6+\sqrt{33})\ ;\ 3-log_3(6+\sqrt{33})\, )\ .

2)\ \  \left\{\begin{array}{l}2^{x}\cdot 3^y{-24=0\\2^{y}\cdot 3^{x}-54=0\end{array}\right\ \ \left\{\begin{array}{l}2^{x}\cdot 3^{y}=24\\2^{y}\cdot 3^{x}=54\end{array}\right\\\\\\\dfrac{2^{x}\cdot 3^{y}}{2^{y}\cdot 3^{x}}=\dfrac{24}{54}\ \ ,\ \ \ 2^{x-y}\cdot 3^{y-x}=\dfrac{4}{9}\ \ ,\ \ \ 2^{x-y}\cdot \Big(\dfrac{1}{3}\Big)^{x-y}=\dfrac{4}{9}\ \ ,\\\\\\\Big(\dfrac{2}{3}\Big)^{x-y}=\Big(\dfrac{2}{3}\Big)^2\ \ \ \Rightarrow \ \ \ x-y=2\ \ ,\ \ y=x-2

\left\{\begin{array}{l}2^{x}\cdot 3^{y}=24\\y=x-2\end{array}\right\ \ \left\{\begin{array}{l}2^{x}\cdot 3^{x-2}=24\\y=x-2\end{array}\right\ \ \left\{\begin{array}{l}2^{x}\cdot \dfrac{3^{x}}{9}=24\\y=x-2\end{array}\right\\\\\\\left\{\begin{array}{l}\dfrac{6^{x}}{9}=24\\u=x-2\end{array}\right\ \ \left\{\begin{array}{l}6^{x}=216\\y=x-2\end{array}\right\ \ \left\{\begin{array}{l}6^{x}=6^3\\y=x-2\end{array}\right\ \ \left\{\begin{array}{l}x=3\\y=1\end{array}\right

Otvet:\ \ (\ 3\ ;\ 1\ )\ .


Аноним: :)
Вас заинтересует