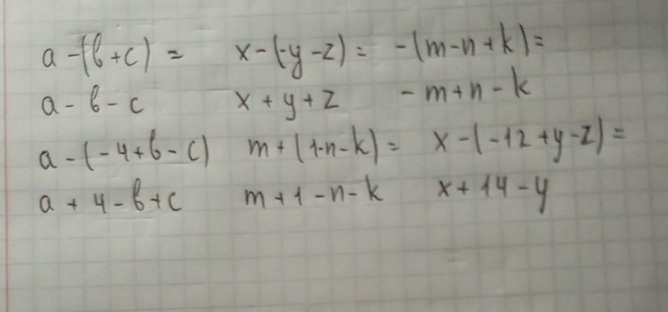
а-(b+c)=?
х-(-у-z)=?
-(m-n+k)=?
a-(-4+b-c)=?
m+(1-n-k)=?
х-(-12+у-z)=?
пж помагите я бду блогадарна и еще вы получите баллы
                        
                            
                                    
                    Аноним:
                    пж
                
            
                    
                    уже 7 минут прошло
                
            
                    
                    теперь 8 минут прошло
                
            Ответы
                                            Ответ дал: 
                                                                                    
                                        
                                            
                                                
                                                
                                                
                                                    1
                                                
                                            
                                        
                                    Ответ:
.........................
Приложения:
                     
                            
                    
                    сбосибо большое
                
            
                    
                    не за что
                
            Вас заинтересует
                
                        2 года назад
                    
                
                        2 года назад
                    
                
                        2 года назад
                    
                
                        2 года назад
                    
                
                        7 лет назад
                    
                
                        7 лет назад
                    
                
                        9 лет назад
                    
                
                        9 лет назад