Ответы
Ответ дал:
1
Ответ:
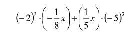
6х
Пошаговое объяснение:
-8×(-1/8х)+1/5х×25=х+5х=6х
Ответ дал:
1
Пошаговое объяснение:
ось це є відповідь............. .
Приложения:

Вас заинтересует
2 года назад
2 года назад
2 года назад
2 года назад
7 лет назад
7 лет назад
9 лет назад