• Предмет: Математика
  • Автор: holdikgg180
  • Вопрос задан 3 года назад


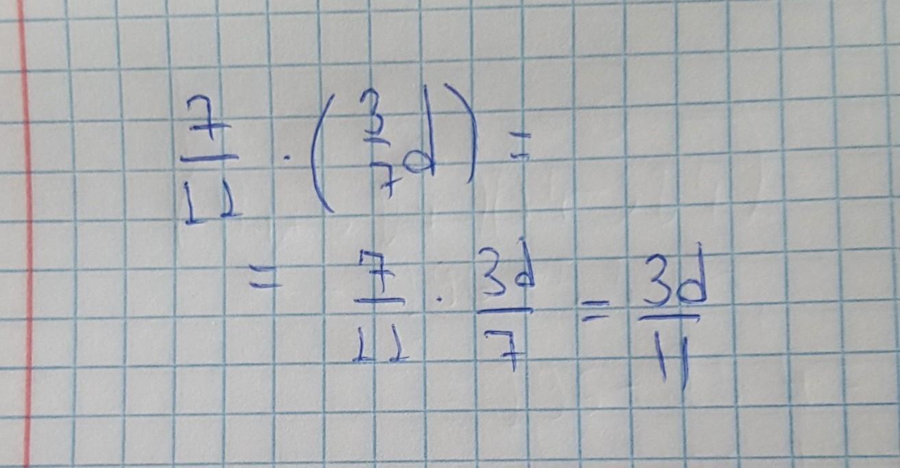
 \frac{7}{11}  \times ( \frac{3}{7} d)

Ответы

Ответ дал: vityamath
1

Пошаговое объяснение:

Решение на фотографии

Приложения:

holdikgg180: спс правильно
Вас заинтересует