Ответы
Ответ дал:
1
Ответ:
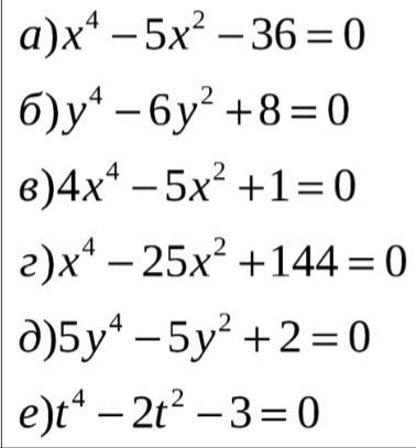
Ответы на картинках. Всё должно быть правильно. А если я Вам помогла, то отметьте лучшим.♥️
Приложения:



imm0mmy:
спасибо большое111111
Вас заинтересует
2 года назад
2 года назад
2 года назад
7 лет назад
7 лет назад