• Предмет: Алгебра
  • Автор: sabelnikovamilana9
  • Вопрос задан 3 года назад

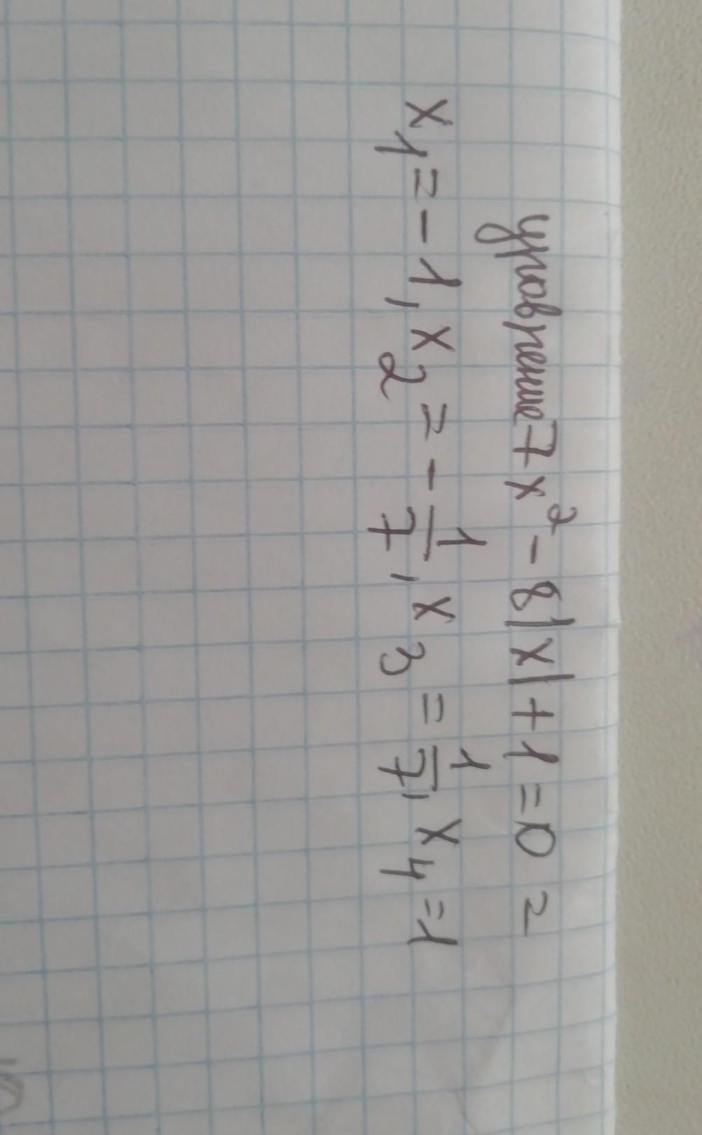
решите уравнение 7х²-8|х|+1=0​

Ответы

Ответ дал: gulaiym499
0

Ответ:

Это правильный ответ надеюсь помагло удачи

Приложения:
Вас заинтересует