Ответы
Ответ дал:
1
Ответ:
.
Объяснение:
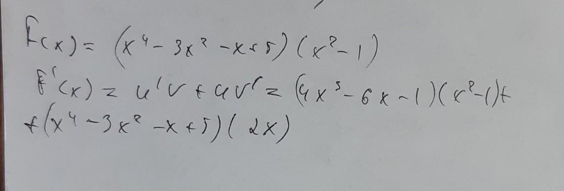
ну, смотри фото и потом немного упрости, если надо, производную я тебе вычислил;)
Приложения:

Вас заинтересует
2 года назад
7 лет назад
7 лет назад
9 лет назад