• Предмет: Математика
  • Автор: arekamber
  • Вопрос задан 3 года назад

Пожалуйста помогите!

Приложения:

Ответы

Ответ дал: Leia12
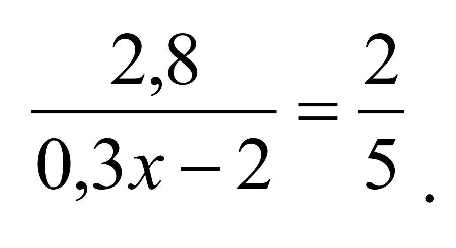
1

Ответ:

х=30

Пошаговое объяснение:

решение на картинке

Приложения:
Вас заинтересует