• Предмет: Информатика
  • Автор: knyazevboris01
  • Вопрос задан 3 года назад

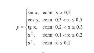
Помогите, пожалуйста, составить алгоритм)

Приложения:

Ответы

Ответ дал: bbhb392ses
0

Ответ:ССС

Объяснение:

Это же не информатика


knyazevboris01: 10-11 класс
Вас заинтересует