Ответы
Ответ дал:
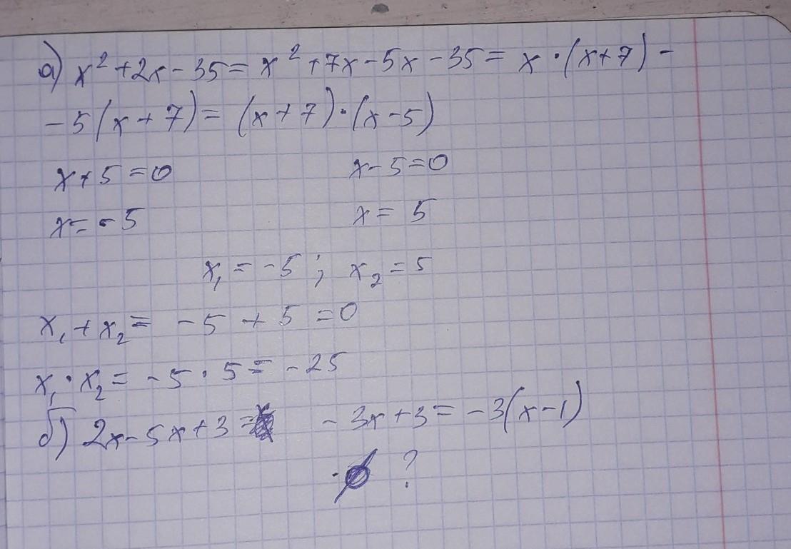
2
Ответ:
Б я немного не поняла, что делать дальше( наверно там нет решения)
Приложения:

makenty1978:
ничего страшного;)
Вас заинтересует
2 года назад
2 года назад
2 года назад
7 лет назад
7 лет назад
9 лет назад
9 лет назад