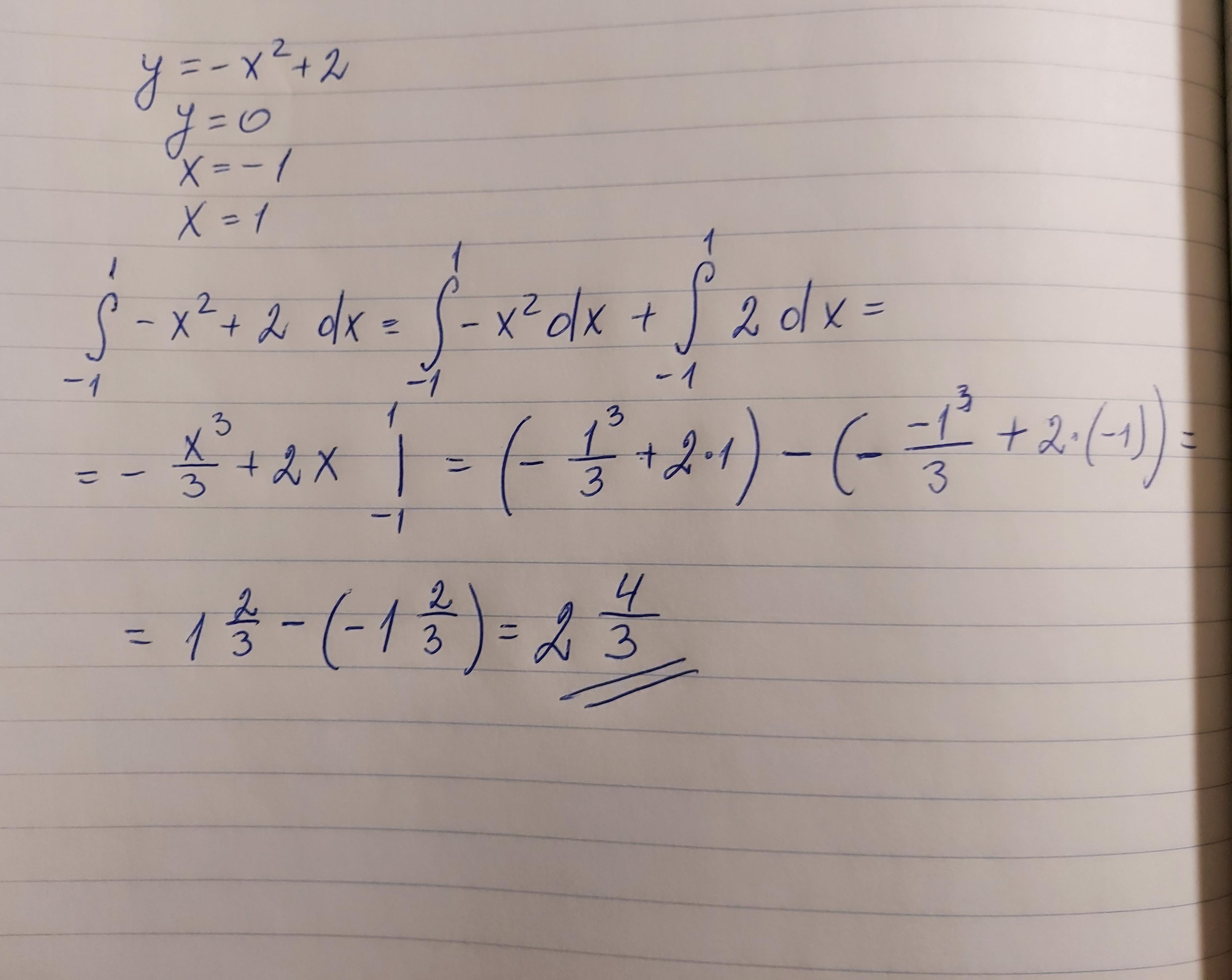
Вычислить, предварительно сделав рисунок, площадь фигуры,
ограниченной линиями: у = -х2 + 2, у = 0, х = -1, х = 1.
(Ответ округлите до сотых)
Ответы
Ответ дал:
1
Ответ:
3.33
Объяснение:
Решение в файле...............
Приложения:


Вас заинтересует
2 года назад
2 года назад
2 года назад
2 года назад
7 лет назад
7 лет назад
9 лет назад
9 лет назад