• Предмет: Алгебра
  • Автор: kima09695
  • Вопрос задан 3 года назад

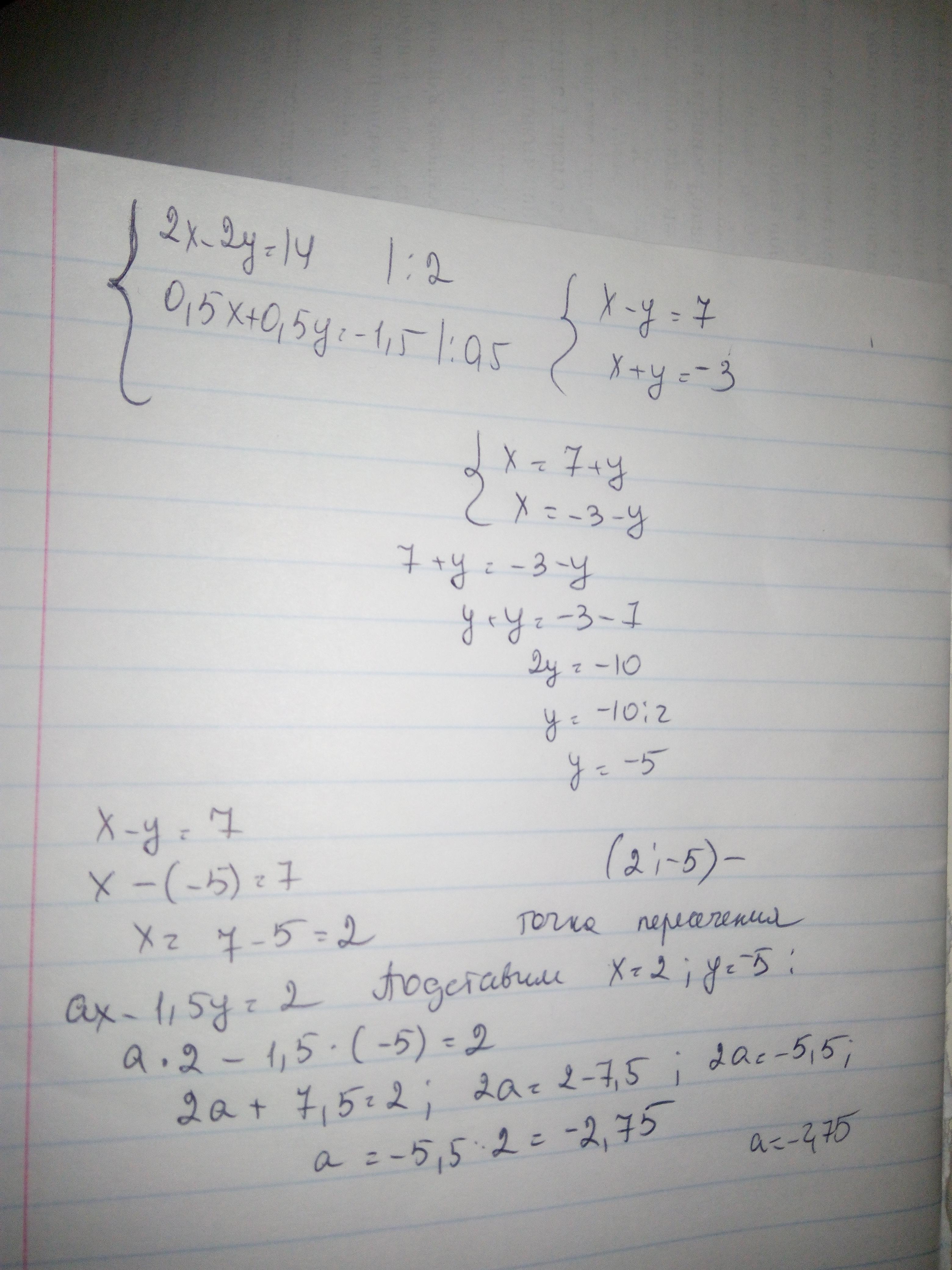
Прямая ax - 1,5y=2 прроходит через точку пересечения прямых 2x-2y=14 и 0,5x+0,5y=-1,5
Запишите линейные уравнения в виде линейной функции
Найдите координаты точки пересечения прямых аналитическим способом
Найдите значение а аналитическим способом

Ответы

Ответ дал: PinkesRose
1

Ответ:а=-2,75 точка пересечения(2;-5)

Объяснение:

Приложения:

kz7781856085: это правильно?
Вас заинтересует