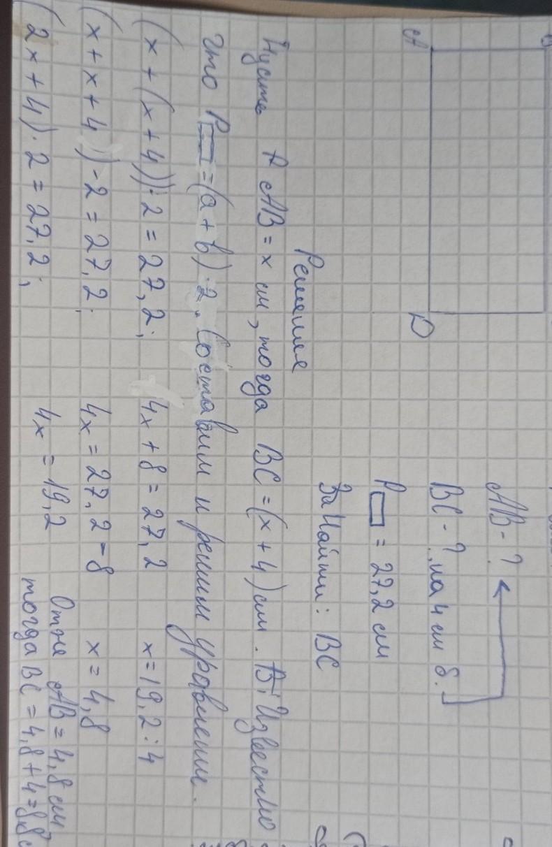
В прямоугольник е ABCD сторона AB=x см. 1) выразите остальные стороны этого четырехугольника,зная что ВС на 4см больше АВ 2)Зная что периметр АВСД равен 27,2см и используя данные пункта 1, составьте уравнение. 3) Решите уравнение,полученное в пункте 2. Найдите длину ВС
Ответы
Ответ дал:
1
Ответ:
BC = 8.8см............
Приложения:

Вас заинтересует
2 года назад
2 года назад
7 лет назад
9 лет назад