• Предмет: Математика
  • Автор: belpd3174
  • Вопрос задан 3 года назад

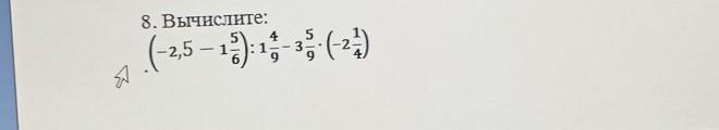
8. Вычислите:
4
1 — 3
б
(-2,5 – ) - 52:)
БА​

Приложения:

Ответы

Ответ дал: humen72
0
164/27
(Вроде бы так)
Вас заинтересует