• Предмет: Математика
  • Автор: Sona365456
  • Вопрос задан 11 лет назад

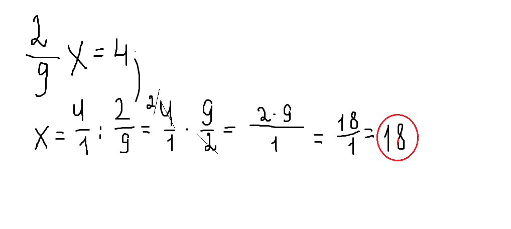
Найдите х, если 2/9 х=4.
Помогите пожалуйста)

Ответы

Ответ дал: cherry1
0
на картинку посмотри::::::::::::::::
Приложения:
Вас заинтересует