• Предмет: Математика
  • Автор: mcflur
  • Вопрос задан 3 года назад

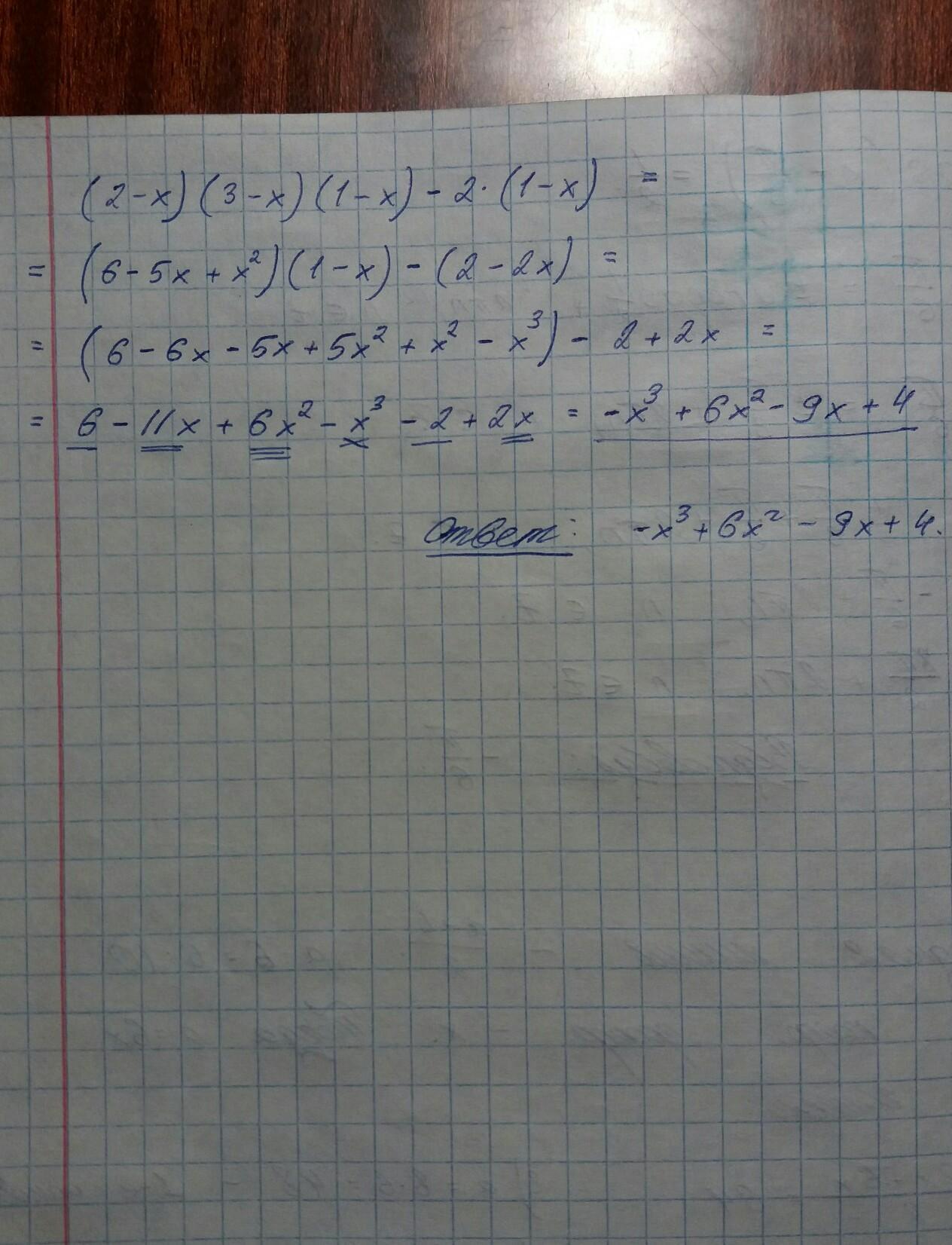
Раскрыть скобки (2-x)(3-x)(1-x)-2*(1-x)

Ответы

Ответ дал: Oden21
0

Ответ и объяснение на фото во вложении.

Приложения:
Вас заинтересует