• Предмет: Математика
  • Автор: alizhanbektursyn777
  • Вопрос задан 3 года назад

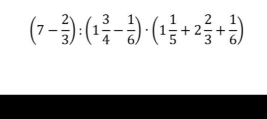
Пж помогите ТЖБ по математиеюке ! ! !

Приложения:

alizhanbektursyn777: Математике*

Ответы

Ответ дал: werjrtejriehtiterrt
0

Ответ:

19*2/7*17/5=646/35=18 16/35

Пошаговое объяснение:

Вас заинтересует