Ответы
Ответ дал:
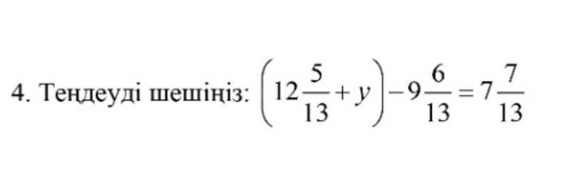
1
Пошаговое объяснение:
Этооо праввельный отвееет
Приложения:

akdidarkystaubaj:
Спасибо
Вас заинтересует
2 года назад
2 года назад
2 года назад
7 лет назад
7 лет назад
9 лет назад