• Предмет: Математика
  • Автор: golovanwo
  • Вопрос задан 3 года назад

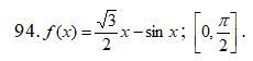
Найти наибольшее и наименьшее значения функции y=f(x) на отрезке {a,b} .

Приложения:

Ответы

Ответ дал: PinkesRose
1

Ответ:

Пошаговое объяснение:

Приложения:
Вас заинтересует