• Предмет: Математика
  • Автор: russkie31
  • Вопрос задан 3 года назад

пж помогите ерунды не писать а то бан​

Приложения:

Ответы

Ответ дал: dyexfnf
1

Ответ:

Пошаговое объяснение:

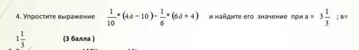
1/10(4а-10) - 1/6(6а+4)= 2/5а-1-а-2/3= -3/5а -1 2/3

а) -3/5а -1 2/3= - 3/5*3 1/3-1 2/3= -2-1 2/3= - 3 2/3

в)-3/5а -1 2/3=-3/5*1 1/3-1 2/3= - 4/5-5/3=-12/15-25/15=-37/15= - 2 7/15


russkie31: А это точно правильно
Вас заинтересует