Ответы
Ответ дал:
1
Ответ:
Пошаговое объяснение:
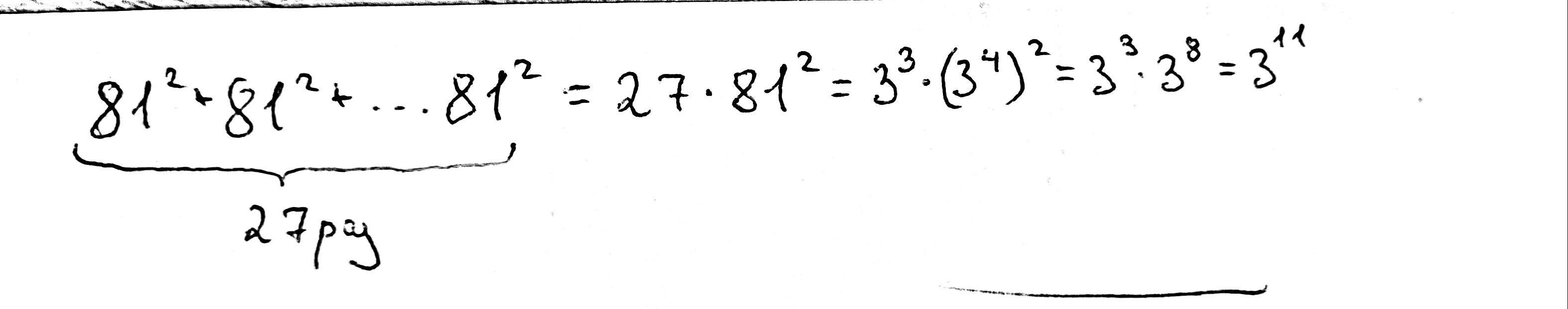
Во вложении.
Приложения:

DedokBalaganny:
спасибо огромное!
Вас заинтересует
2 года назад
2 года назад
2 года назад
2 года назад
7 лет назад
9 лет назад
9 лет назад