Ответы
Ответ дал:
1
Ответ:
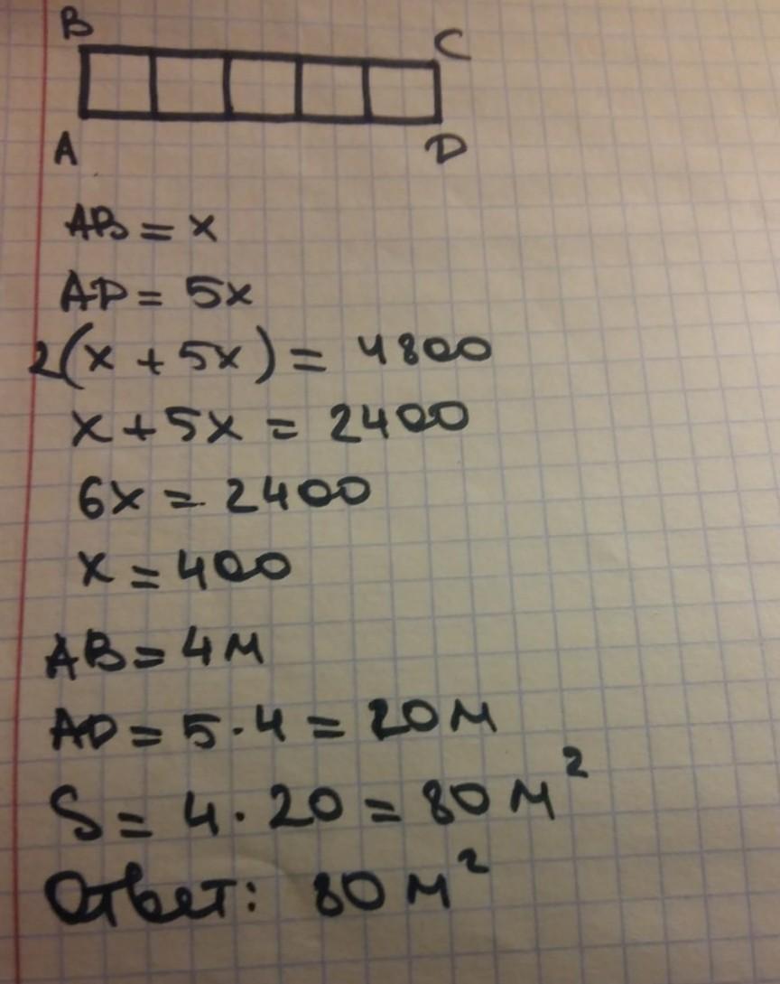
AB=x
AD=5x
2(x+5)=4800
x+5x=2400
6x=2400
x=400
SB=4M
AD=4×5=20M
S=20×4=80M²
ответ:80м²
Приложения:

Ivan4240:
не думаю, что 80 м , но зато спасибо)
Ответ дал:
1
Ответ:
80 м²
Решение:
1)4800/4=1200 см.
2)1200/3=400 см.
3)400*400=160000 см².
4)160000*5=800000 см².
5)800000/10000=80 м².
Объяснение:
Итак, двор квадратный. Его периметр = 4800 см. Значит сторона равна 4800/4=1200 см.
Узнаем сторону маленького квадрата: 1200/3=400 см.
Теперь его площадь 400*400=160000 см².
Всего квадратов 5. 160000*5=800000 см².
Ответ нужен в м²: 1 м²=10000см². Значит 800000/10000=80 м²
Можешь пж отметить как лучшим, нажать спасибо и 5 звёзд
Вас заинтересует
2 года назад
2 года назад
7 лет назад
9 лет назад